? ? ? 工業上普遍需要測量各類非電物理量,例如溫度、壓力、速度、角度等,這些都需要轉換成模擬量電信號才能傳輸到幾百米外的控制室或顯示設備上。這種將物理量轉換成電信號的設備稱為變送器。目前工業上采用最廣泛的是用4~20mA電流來傳輸模擬量。采用電流信號的原因是不容易受干擾。并且電流源內阻無窮大,導線電阻串聯在回路中不影響精度,在普通雙絞線上可以傳輸數百米。?
? ? ? ? 4~20mA是指最小電流為4mA,最大電流為20mA ,上限取20mA是因為防爆的要求,20mA的電流通斷引起的火花能量不足以引燃瓦斯等氣體,對于氣體傳感器來說是非常重要的,因為火花能量太大可能會點燃易燃易爆氣體,產生的后果難以想象。?
? ? ? ? 下限沒有取0mA的原因是為了能檢測斷線:正常工作時不會低于4mA,當傳輸線因故障斷路,環路電流降為0。常取2mA作為斷線報警值。另一個原因是在4-20mA使用的是兩線制,即兩根線即是信號線,同時也是電源線,而4mA是為了給傳感器提供電路的靜態工作電流用。
? ? ? ? 4~20mA變送器的電流信號究竟能傳多遠呢?
? ? ? ? 干擾因素:
①與激勵電壓高低有關;
②與變送器允許的最小工作電壓有關;
③與板卡設備采集電流用的取壓電阻大小有關;
④與導線電阻的大小有關。
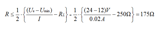
? ? ? ? 通過這四項有關量,可以計算出4~20mA電流信號的理論傳輸距離。其中,Uo是變送器的供電電壓,必須在滿載時(電流I=20mA)保證Uo≥Umin。即:Ue-I.(RL+2r)≥Umin
? ? ? ? 根據這個公式,可以計算出在變送器處于低工作電壓時,大的導線電阻。假設:已知:Ue=24V,I=20mA,RL=250Ω,Umin=12V。求出r的大值為175Ω:
? ? ? ? 其中:
ρ——電阻率(銅電阻率=0.017,鋁電阻率=0.029)
L——線的長度(單位:米)
S——線的截面(單位:平方毫米)
注:電阻值與長度成正比,與截面積成反比。導線越長,電阻越大, 導線越粗,電阻越小。
? ? ? ? 以銅線為例,ρ= 0.017 Ω·mm2/m,即:橫截面積1mm2,長度1m的銅線電阻為0.017Ω。那么175Ω對應1mm2的導線長度為175/0.017=10294(米)。因此,理論上4-20mA信號傳輸可達上萬米(根據不同激勵電壓和變送器的*低工作電壓等因素而定)。
? ? ? ? 恒歌擁有10年的OEM/ODM定制經驗,10年專業的協同設計/輔助設計能力,能為您提供4-20mA、RS485傳輸方式的氣體傳感器/報警器/模塊/配件等,也可提供4-20mA、RS485傳輸方式的溫濕度傳感器/變送器/探頭。恒歌的產品專為客戶而設計,能夠滿足苛刻的工業過程和環境控制方面的測量需求。
發布時間 20-11-06



